URL: https://v1.desy.de/site_www-desy/content/e219828/e245574/e245601/e258642/e262691/e288780/gelaendeplan-eng-hh_ger.html/@@siteview
Breadcrumb Navigation
LiDO
LiDO
LiDO (Liquid Scintillation Muon Decay Observer) ist ein Experiment zur Messung der mittleren Lebensdauer kosmischer Myonen. Es ist permanent im CosmicLab bei DESY in Zeuthen installiert.
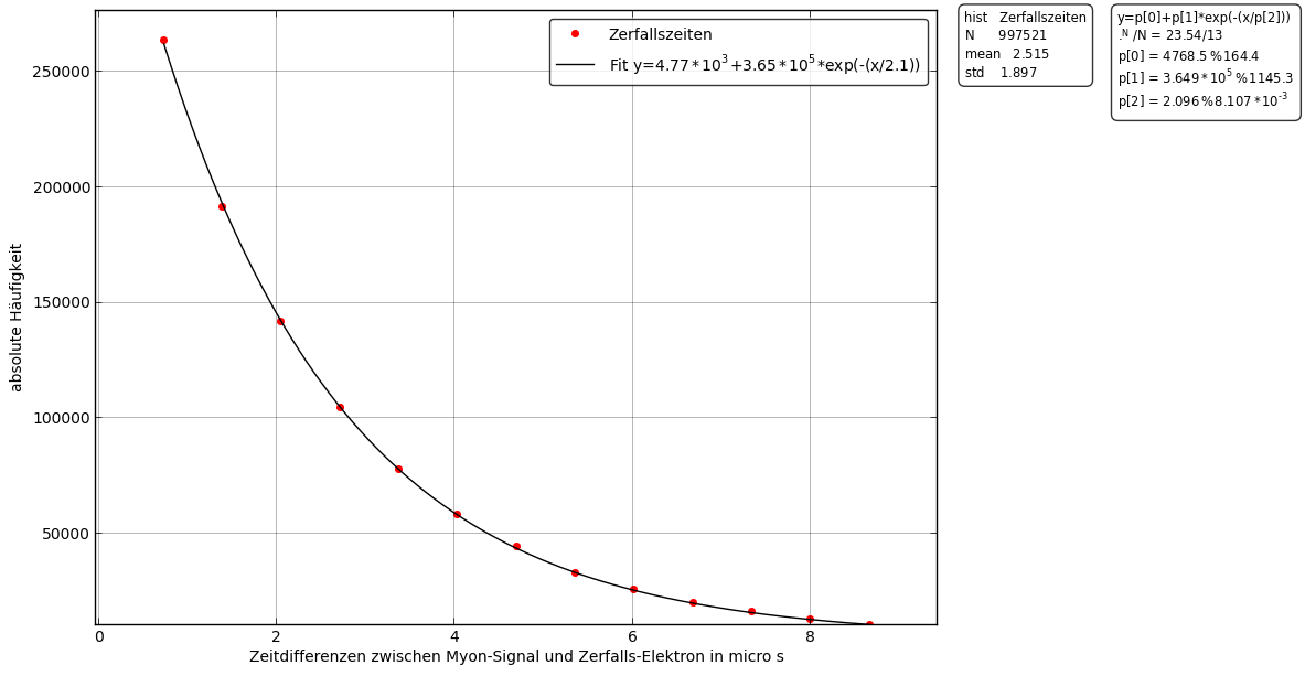
Bei dem Zerfall eines Myons entstehen ein Elektron bzw. ein Positron und zwei Neutrinos. Bis auf die Neutrinos sind alle diese Teilchen im LiDO detektierbar und spielen bei der Messung eine Rolle: Geladene Elementarteilchen, wie das Myon, erzeugen im Szintillator Licht, das vom PMT registriert wird. Wenn ein Myon im Detektor zerfällt, dann erzeugt kurze Zeit später das entstandene Elektron oder Positron ein weiteres Lichtsignal. Zur Bestimmung der mittleren Lebensdauer von Myonen wird die Zeitdifferenz zwischen dem ersten Lichtsignal vom Myon und dem zweiten Signal vom Elektron oder Positron gemessen. Dabei werden nur Ereignisse akzeptiert, bei denen die Zeitdifferenz kleiner als 20 Mikrosekunden ist. Die Darstellung der Häufigkeit solcher Ereignisse in Abhängigkeit von der Zeitdifferenz erlaubt unter Zuhilfenahme des Zerfallsgesetzes die Bestimmung der mittleren Lebensdauer.

ZUM HERUNTERLADEN
